
As is evident from the introduction, the technique is a combination of a few basic aspects as follows, each is considered in some details. The solid support or matrix Activation of the functional group in the matrix The spacer arm The ligand The component binding to the ligand.
The Solid Matrix
An ideal solid support should have the following properties.
It must interact weakly with proteins in order to minimise non-specific interactions, ( adsorption of proteins.)
It should have good flow properties, which are retained after coupling.
It must be amicable to modification of chemical groups to suit the needs of separation of a particular material without any inherent damage to the support itself.
It must be mechanically and chemically stable to conditions of coupling and later decoupling and to the varying conditions of pH, ionic strength, temperature and presence of denaturants like Urea, which may be needed for adsorption or elution.
It must be uniformly porous and permit unimpaired entry and exit of large molecules throughout the matrix.
A large number of solid supports have been employed in the early days, which include cellulose and polystyrene derivatives, polyacrylamide gels and dextran derivatives.
Agarose a naturally occurring carbohydrate has been extensively used in separation of a variety of biologically active and other substances. It is a highly versatile polymer, whose main functional group is a hydroxyl group in its native state.
Activation and Modification
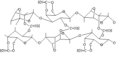
The -OH group is not highly active in certain condensation reactions; therefore it cannot easily react with other molecules. Hence before any further modification it has to be activated that is converted into another group which is highly active. Among others the widely used methods are activation with Cyanogen bromide (CNBr) and epoxy compounds. The activated resins are commercially available(expensive). The following is the partial structure of Cyanogen bromide activated Sepharose.